「OpenGL3Dプログラミング」正誤表

page

口絵 p.III
p.31 リスト2.3の最下位行  aa As Double aa As Integer
p.34 リスト2.6タイトル部分  ProCG2.c  TestCG2
p.52 式(4.1)
p.64 式(4.6)
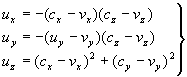
p.86 式(5.9)の下の式
p.122 下から3行目 これらの値の±0.5° これらの値の±5°
p.127 1行目 step4からstep1へ step5からstep1へ
p.177 式(8.15)の下 は車オブジェクトの位置 は車オブジェクトの位置


「OpenGL 3Dプログラミング」のページへ戻る

CQ出版社のトップページへ戻る


Copyright 1997-2025 CQ Publishing Co.,Ltd.

sales@cqpub.co.jp