極が複素数の場合
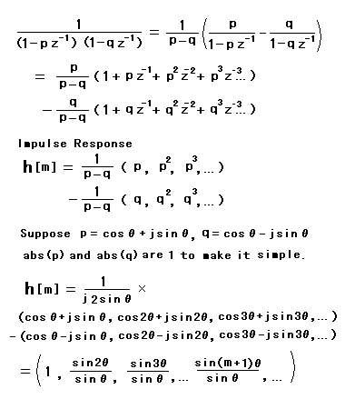
極が複素数の場合インパルス応答は基本的に振動しますが、その周波数は実数部が正のときは低く、負のときは高くなります。下の式においてp、qは極でその絶対値は1と仮定します。θはpの複素平面上での角度です。
極の実数部が正のときはθが小さい
ので、h[m]の符号は緩やかに切り替わります。