1.3 2次元図形とアフィン変換

1.3.1 アフィン変換とは

 物体や図形の座標値を定義する場合は,その中心点あるいは角の点を座標の原点に一致させて定義します.図1.6の四角形ABCDはA点を原点とした辺の長さ1の正方形です.これを,原点の周りに角度q回転したものをAB'C'D'とします.図からわかるように,B(1, 0)はB'(cosΘ, sinΘ)へ,D(0, 1)はD'(-sinΘ, cosΘ)へ移動しています.

(図1.6)2次元図形の回転

 

 

 すなわち,回転前の頂点の座標値をP(x, y),回転後の座標値をP'(x', y')としたとき,

…(1.2)

が成立します.

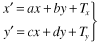
 このような線形変換をアフィン変換といい,スケーリングや平行移動も含まれます.一般式は次のようになります.

…(1.3)

  Tx,Tyが平行移動量です.式(1.3)はすべての頂点に対して計算する必要があります.式(1.3)をベクトルおよびマトリックスで示すと,

…(1.4)
のようになります.回転とスケーリングの変換係数をマトリックスで示すと,
回転 …(1.5)


スケーリング …(1.6)

となります.


Copyright 2000 酒井 幸市

新刊のご案内


Copyright 1997-2001 CQ Publishing Co.,Ltd.